【台大科研】為什麼要住這裡?非洲夜蚯蚓腸道寄生蟲的選屋原則(下)
既然已經知道了臺灣的非洲夜蚯蚓的腸道同時受到蚯蚓蟯蟲、腸道線蟲的寄生,那麼接下來就衍生出了更多的問題,包含:這兩種寄生蟲居住在腸道的哪裡呢?牠們之間是怎麼樣的關係?牠們各自的食性是甚麼?以及牠們對宿主究竟會造成什麼影響?邱名鍾老師及賴亦德博士研究團隊透過各項研究調查,一一解答了這些問題,而答案或許會顛覆你的想像喔!
撰文|臺大昆蟲系 邱名鐘 助理教授、臺大科學教育發展中心 賴亦德 執行長
非洲夜蚯蚓腸道內兩種寄生蟲各自住哪?原因為何?
既然已經知道臺灣的非洲夜蚯蚓身上帶有蚯蚓蟯蟲和另一種腸道線蟲,也已經確定混養的另外兩種堆肥蚯蚓身上沒有這兩種寄生蟲,那麼這個研究就可以專注在身為宿主的非洲夜蚯蚓與兩種寄生蟲的交互作用上。於是,我們接下來想問的問題是:就算非洲夜蚯蚓的腸道如此富饒,裡面的空間再怎麼樣也是有限,一個蘿蔔一個坑,在空間上也還是難免會有競爭。這兩種寄生蟲各自住在腸道的哪裡呢?腸道裡兩種寄生蟲都存在的時候,跟只有其中一種寄生蟲存在的時候相比,這兩種寄生蟲各自居住的位置有什麼不一樣嗎?能從中推敲出牠們彼此之間存在任何競爭嗎?
為了定位兩種寄生蟲的居住位置,我們把成體非洲夜蚯蚓環帶後的身體切成長度一公分的多段,檢查每段腸道裡面的寄生蟲,最後再用環帶後總體長為分母,把寄生蟲的種類和位置轉換成0-1之間的數值,0.0表示緊貼環帶後,1.0表示位於肛門末端。檢查了36隻非洲夜蚯蚓後,我們發現這兩種寄生蟲在腸道裡面的住處並不相同:蚯蚓蟯蟲顯然偏好住在腸道後段,大約在環帶後0.6-0.9的區域;相對的,腸道線蟲則偏好住在腸道前段,大約在環帶後0.2-0.5的範圍。更重要的是,無論腸道內是單一種寄生蟲獨居或是兩種寄生蟲共享,這兩種寄生蟲的居住範圍大致不變。

也就是說,蚯蚓蟯蟲和腸道線蟲之所以住在特定的區域,並不是因為彼此競爭造成的結果,而是對腸道內特定位置有所需求和偏好,有沒有另一種寄生蟲共享腸道都一樣。至於這個需求或偏好是什麼呢?根據腸道內細菌豐度的結果,蚯蚓蟯蟲居住區域的細菌豐度遠高於腸道線蟲的居住區域,據此至少可以推測蚯蚓蟯蟲是因為細菌豐度高(也就是食物多)而偏好待在腸道後段。為此我們還做了另一個實驗,在非洲夜蚯蚓的養殖基材裡面加入抗生素,結果非洲夜蚯蚓腸道內的蚯蚓蟯蟲就通通消失了,顯然是因為抗生素殺死了腸道細菌,讓蚯蚓蟯蟲缺了食物而嗚呼哀哉。由此可以確認,蚯蚓蟯蟲在非洲夜蚯蚓體內的確還是以細菌為食無誤,而且即使蚯蚓沒有明顯的發酵腔,蚯蚓蟯蟲也同樣待在宿主蚯蚓腸道內細菌豐度高的區域。這樣的結果,似乎和臺灣人偏好選擇生活機能佳的居住地點有異曲同工之妙。

但話說回來,腸道線蟲又是為什麼選擇腸道前段來住呢?根據過去的文獻,腸道線蟲並不是以細菌為食,而是真正以蚯蚓宿主的細胞組織為食,而且還得要在蚯蚓的腸道內與腸道外的體腔之間穿梭才能完成生活史,所以腸壁比較薄、腸道內皮角質化較少的腸道前段,不僅方便取食還容易在腸道內外穿梭移動,大概才是腸道線蟲居所的最佳選擇,如此結果也再次展現採買食物方便、交通又便利的優良生活機能,對選擇居住地點的臺灣人和寄生蟲同樣有強大的吸引力。
蚯蚓蟯蟲有沒有那麼神?
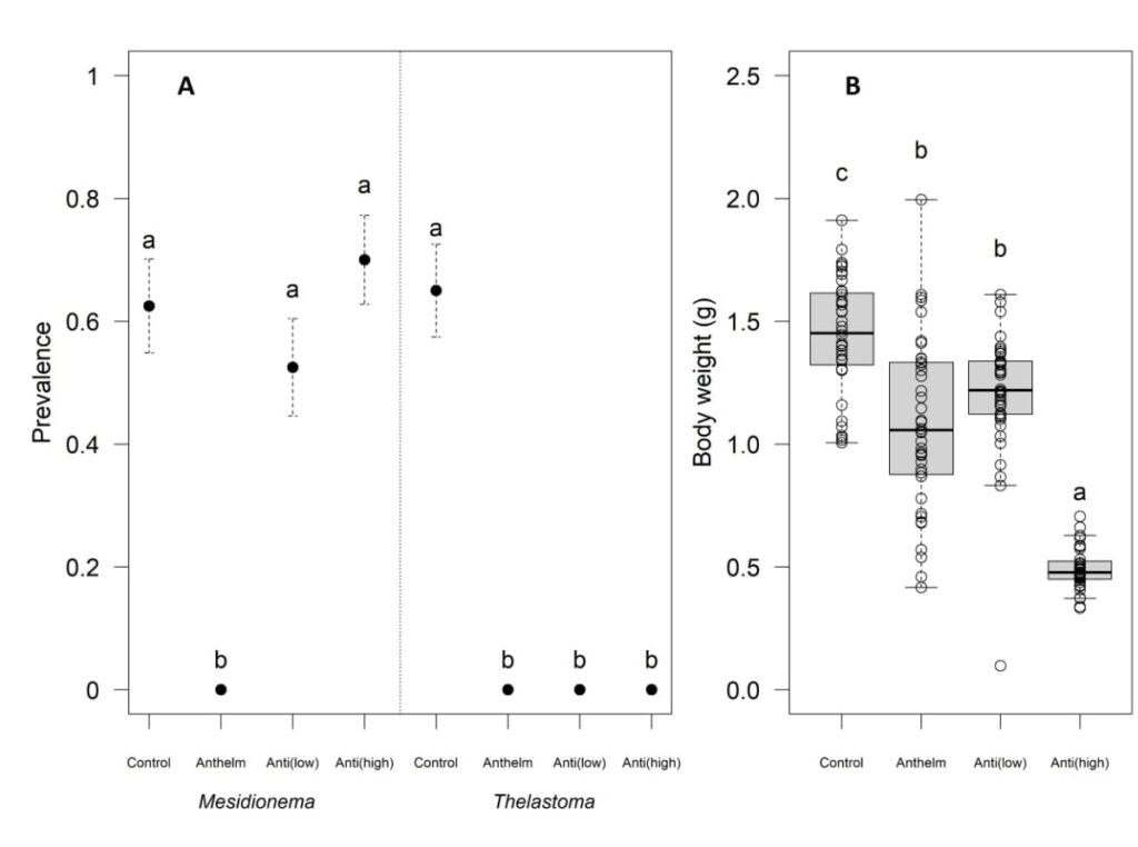
除了上述的實驗結果外,我們還有有趣的實驗結果。如同前面提到的,蟯蟲吃的不是宿主的組織,而是宿主腸道裡面的細菌,所以不見得會對宿主造成什麼不良的影響,例如在人類身上的蟯蟲就只是讓我們晚上屁股癢干擾睡眠而已。神奇的是,先前的研究中發現某些蟯蟲不僅不會造成傷害,反而會讓宿主發育速度更快、體重變重,簡直就是補品一樣的功能。於是我們想,蚯蚓蟯蟲會不會也有這種本事?在同樣的飼養條件下,如果帶有蚯蚓蟯蟲的非洲夜蚯蚓比起用打蟲藥處理的無蟲個體,體重能夠更重或者成長速度更快,那麼就可以顯示蚯蚓蟯蟲對非洲夜蚯蚓不但不是帶來害處的寄生蟲、反而是帶來益處的互利共生夥伴。

打蟲藥的實驗結果顯示,即使提供充足的食物,少了兩種腸道寄生蟲的非洲夜蚯蚓體重還真的顯著輕了點,也就是說蚯蚓蟯蟲在腸道內的存在對非洲夜蚯蚓來說很可能是件好事,可以像其他蟲生蟯蟲一樣,說不定藉著取食特定細菌類群、篩選出有益的腸道菌相,因此促進宿主的健康。這個結果目前只是個小小的一步,未來如果可以精準讓非洲夜蚯蚓只感染蚯蚓蟯蟲,於感染前後或打蟲前後再觀察蚯蚓發育速度或體重變化,或許可以有更進一步的結果。當然,如果要用上更厲害的菌相分子鑑定來觀察蚯蚓蟯蟲對非洲夜蚯蚓腸道菌相的影響,也會是另一個有趣的研究角度。
總結與尾聲
總結來看,我們的研究從小小的好奇開始,先是從文獻中發現蚯蚓蟯蟲的存在,然後確認臺灣的非洲夜蚯蚓腸道內真的帶有蚯蚓蟯蟲,同時還住了另一種腸道線蟲。又因為兩種寄生蟲無論共存與否,在非洲夜蚯蚓腸道內的居住區域就是不一樣,推測可能是食菌或食宿主組織的食性差別造成如此結果;進一步用抗生素來殺掉蚯蚓的腸道細菌後,也一如預期地看到了吃細菌的蚯蚓蟯蟲隨之消失,但吃宿主腸道組織的腸道線蟲則沒有大礙。另外,使用打蟲藥去除寄生蟲的非洲夜蚯蚓體重顯著減輕的結果,也暗示了這兩種寄生蟲或許對非洲夜蚯蚓宿主而言並不真的有害,說不定反而是可以帶來好處的共生夥伴。
最後的一點感想是,寄生蟲在我們的現代日常生活中幾乎已經絕跡了,連帶的也讓寄生蟲學的相關研究越來越式微。但是寄生蟲的世界如此廣大多元、與宿主的關係和互動繽紛多變,我們一定可以從中得到許多有趣甚至實用的成果。希望藉著這一個研究的結果,能夠讓更多人對寄生蟲領域產生興趣。
✨延伸閱讀:《【台大科研】為什麼要住這裡?非洲夜蚯蚓腸道寄生蟲的選屋原則(上)》
