- 倫敦方程和穿透深度(The London Theory and Penetration Depth) 2009/09/01
倫敦方程和穿透深度(The London Theory and Penetration Depth)
國立虎尾科技大學電子工程系吳添全助理教授/國立彰化師範大學洪連輝教授責任編輯由邁斯納效應給出超導體內部磁感應強度B=0,但事實上磁場也不能說完全不能進入到超導體中。磁場進入到超導體內的深度為薄薄的一層,直至超導內部的磁感應強度為零。F. London及H. London由二流體模式提出所謂倫敦方程,解釋Meissner效應,定義穿透深度λ (penetration depth)為超導體的特性長度,即靜磁場下磁力線穿透超導體表面深度,在此深度範圍內,磁力線密度呈現指數衰減。
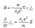
在1935年時由倫敦兄弟二人推導出二個基本的電磁定律,給予超導性質概括的描述。這一組超導電流的倫敦方程為:

第一式為倫敦第一方程,描述超導體在外磁場中,感應而生的屏蔽電流與外磁場的關係。第二式為倫敦第二方程,描述超導體的完全導電性。在有電阻的正常導體中,電場的作用是維持電子的速度;而在無電阻的超導體中,任何電場都會加速超導電子。
由第一式再加上超導體內部應滿足Maxwell方程:(
)可得到,
,
假使考慮一個半無限平面超導體,由上式可得到一個解,可以得到其磁感應強度的分佈為

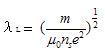
其中B(x)是超導體內距離表面x處的磁感應強度。通常定義穿透深度的位置為磁感應強度降到表面值的1/e時的地方。由上式可知在x=
處,即為穿透深度的長度,亦即磁場進入到超導體內的深度。令= λL,並稱 λL 為倫敦穿透深度,λL
。
倫敦方程式預言了超導體表面的磁感應強度非常迅速的呈指數衰減,電流都在穿透深度內貼近表面流動。

- 約瑟夫效應的應用(The Application of Josephson Effect) 2009/09/01
約瑟夫效應的應用(The application of Josephson effect)
國立虎尾科技大學電子工程系吳添全助理教授/國立彰化師範大學洪連輝教授責任編輯利用Josephson穿隧效應所作成的薄膜或元件,最著名的例子即是SQUID,我們稱為超導量子干涉儀。超導量子干涉儀SQUID是由內部有一小部分且非常薄(約10~20nm)的絕緣層稱之為弱連接(weak link)的超導線圈構成,這弱連接被稱為接合,即是由一或二個Josephson接合連接於超導性電線環路中而成。這種裝置對周遭電磁場的變化非常敏感,就算是非常微弱的磁場變化也可以被偵測出來,目前已可以運用在探測生物體內的微小磁場,如腦波、神經訊號等,解開生理上的謎題。
其原理是可探測到在超導性環路內的量子化磁通量,出現的數值必為一個基本單位磁通的整數倍,一個磁通量子約為2.07×10-7gauss-cm2。在SQUID中的電流為環路中所含總磁通量子的週期性函數,對磁通量的變化極為敏感。一具SQUID可測量到小至10-18伏特的電壓差異,小至10-18安培的電流和小至10-14特斯拉的磁場,因此SQUID可測量低溫下微弱的磁性訊號。Josephson效應可分為直流和交流Josephson兩種。其中直流Josephson效應為在沒有任何電場或是磁場下有直流電流通過接合;而交流Josephson效應為外加一直流電壓於接合的兩端,則會產生頻率為2eV/ħ的振盪電流通過接合。
超導線圈於超導態時對外在磁場的改變會有相對應的電流變化,此種變化較一般磁性物質都來的靈敏,因此可利用來感測外部磁場的變化。超導量子干涉儀(Superconducting Quantum Interference Device ; SQUID)即是利用此種原理所製成的磁量測儀器,其設計為將樣品置於超導線圈內,施加一磁場,而後讓樣品往復進出線圈。樣品若對磁場有所感應,則會對週遭的磁場產生影響,而這種影響可由超導線圈的電流變化得知,進而得知樣品的磁特性。Quantum Design SQUID-MPMS-5s超導量子干涉儀的內部結構,其內部有超導磁鐵,磁場最高可加到5T,溫度範圍在 2K-350K之間,需要用液態氦去降溫來保持超導性,可用來測量樣品的磁滯曲線及磁化曲線等磁性質和電性。
磁化強度的量測是將樣品在線圈內以步進的方式移動,來收集磁訊號,其原理為磁性物質移動時會有磁通量的變化,依照安培定律可知在線圈上會有感應電流產生,再由儀器本身去作運算而得到樣品的磁化強度值,其磁化強度至少可量測到10-7EMU (cgs 電磁單位)。所以我們可由這些磁化強度對溫度或磁場變化去判斷它的磁特性。如果要量測一物的電性,我們則需要一支外接式插入樣品量測棒,而將樣品接線在這個樣品座上。當樣品放入SQUID後,外接精密電表以四點量測的方式測量電阻值。
- 相干長度(Coherence Length) 2009/09/01
相干長度(Coherence Length)
國立虎尾科技大學電子工程系吳添全助理教授/國立彰化師範大學洪連輝教授責任編輯一直以來我們都學習到電子與電子之間若直接作用,存在庫侖(Coulomb)作用力互相排斥,但由BCS理論所發現,電子之間也會借助電子-聲子相互作用把兩個電子耦合起來,這種耦合就好像兩個電子之間有相互作用一樣。這種耦合也是因為庫侖作用力的吸引讓每個電子和周圍的正離子向電子靠攏,結果電子在晶格中移動時會改變鄰近正電荷分佈,形成一個局域的高正電荷分佈,對於鄰近其他的電子來說是造成一種吸力的作用。因此電子吸引自旋相反的電子,形成古柏對。這就是電子在透過晶格為媒介而發生的吸引力。
電子結成古柏對是整個電子系統的集體效應,它是整個電子體系與全體晶格離子相耦合而發生的,其耦合強弱決定於所有電子的狀態。基本上,電子對是由吸引力而束縛在一起的兩個電子組成,其尺寸可設兩個電子之間的距離為ξ0,叫作BCS相干長度(Coherence Length)。通常 ξ0≈10-4 cm。這表示存在許多電子對互相重疊分佈在同一範圍,也因此 應表示為一種關聯的相關尺度。
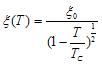
簡單的描述超導與正常金屬的交界面的情況。當超導體內存在相鄰的正常區(N)和超導區(S)時,N和S的分界面不可能是截然劃分的;在N區中磁場充分透入,有序度為零;而在S區中,磁場對超導體存在一個穿透深度λ,再深向S區的內部磁場才會為零。從N區到S區的過渡層中磁場為連續的變化直到降為零,在正常金屬區內所有的電子都是單電子,而在超導區內有部分的電子形成束縛的電子對(古柏對Cooper pair),這種成對的電子對中的電子即為超導電子。在交界處,超導電子經過界面向正常區延伸,正常電子則經過界面向超導區延伸。在正常區內,古柏對變的不穩定,電子對趨向於分裂成兩個單電子,也就是進入正常區後,電子對分裂的可能性愈大。同樣的進入超導區內的電子也會趨向於形成古柏對。電子對中兩個電子的距離我們稱為相干長度 ξ0,在這個範圍內電子是聯結在一起形成電子對的,因此超導與正常金屬的交界區的寬度不會比ξ0更小。理論與實驗均可表明界面寬度為溫度的函數,可表示為
。 - 冷次定律 2009/08/31
冷次定律 (Lenz Law)
臺中縣立中港高級中學物理科王尊信老師/國立彰化師範大學物理學系洪連輝教授責任編輯冷次定律給定因為電磁感應產生的感應電動勢與感應電流的方向,這個定律提供法拉第感應定律的符號選擇的物理解釋,它指出:感應電動勢與磁通量的改變異號。
應用與實例
下列解釋冷次定律是正確的例子:電流產生的磁場如果和產生它的磁場改變方向相同時,這兩個磁場會產生淨磁場,這個磁場會產生兩倍大的感應電流。
這個過程會造成我們只需要移開一個磁極而持續產生無限大的電流,這會造成違反能量守恆定律。 拿一個永久磁鐵的北極與線圈,在磁極的上方架設一個顯微攝影機,當你把磁極移近線圈,你增加了通過線圈的磁通量,根據冷次定律,攝影機所看到的電流方向會是逆時針。如果你把磁極移開線圈,你減少了通過線圈的磁通量,因此,經由攝影機所看到的電流方向為順時針。如果你讓磁極保持靜止,但增加磁場的強度,這種情形下,你增加了經過線圈的磁通量,現在必須仔細閱讀冷次定律,感應電動勢所產生的電流,會使得磁通量產生與原磁通量相反方向的磁通量來抵抗它。
須要注意的是:我們特別強調磁通量的改變,磁場強度的增加只是代表磁通量的改變是指向線圈,因此冷次定律告訴我們:攝影機所看到的感應電流要是逆時針,要注意的是相同的原理也可以用在當磁極離開線圈的狀況。同樣地,當我們保持磁極靜止,但減少磁場強度時,經由攝影機所看到感應電流的方向為順時針。另外一種可能狀況為增加線圈的面積,在這種情況下,我們也增加了線圈的磁通量,使得根據法拉第定律而產生感應電流,我們可以注意到:增加線圈的面積等價於把磁極移近線圈,都會導致線圈的磁通量增加,因此攝影機所看到的電流為逆時針。減少線圈的面積也等價於將磁極移離線圈,也相當於減少線圈的磁通量,因此減少面積所產生的感應電流方向為順時針。 我們總是注意相對於攝影機的感應電流方向,這是因為物理總是重視參考座標。
參考資料
- 平行金屬板(Parallel Plate) 2009/08/31
平行金屬板(Parallel Plate)
台中縣立中港高級中學物理科王尊信老師/國立彰化師範大學物理學系洪連輝教授責任編輯所謂平行金屬板就是指兩個無限大的金屬板所組成的,因為討論距離遠小於金屬板的長或寬,因此可以把它視為均勻帶等量異類電的兩個金屬板。根據電場的積分,我們可以得到平行金屬板間的電場與位置無關,是一種均勻(uniform)電場,而兩金屬板外的電場為零。
因為它可以被用來儲存電能,因此常被用來當成電容(capacitor)。 帶電粒子在平行金屬板的所受電力與平行金屬板的電場成正比,也與帶電粒子的電量成正比,與位置無關。 F=qE 無限大平行金屬板的電場,可視為隨位置均勻的,與位置無關。相對的它與金屬板的帶電量成正比,與金屬板的面積成反比,或可稱為與面電荷密度成正比。
E=4πkσ=4πkQ/A=σ/εo 在現實生活中,金屬板為有限大,此時在靠近邊緣的區域邊緣效應(edge effect)不可忽略,因此電場也不為均勻的。 平行金屬板的電力位能,與電量、電場與平行電場方向的位移成正比。
U=qEd 平行金屬板的電位與電場、平行電場方向位移成正比, V=Ed 因此由正電板線性遞減到負電板為零。利用這個關係,我們可以清楚看出正電荷是由高電位移動到低電位,而負電荷則是由低電位移動到高電位。 平行金屬板的電容,可推得: C=Q/V=Q/Ed=Q/d(4πkQ/A)=A/4πkd 與面積成正比,板距成反比。這部分在電容這個主題已經介紹過。
帶電粒子在平行金屬板的運動,因為它屬於一種定力作用,因此是一種等加速度運動,故帶電粒子在平行金屬板間的運動軌跡是直線或拋物線。因此當初速度平行電場時,它類似自由落體中的靜止拋體、上拋與下拋,軌跡都是直線。至於初速度垂直電場時,它類似平拋,當初速度與電場既不平行也不垂直時,它就類似斜拋,因此帶電體在平行金屬板的運動與自由落體的相似,使得我們在基礎計算上能輕鬆上手。
- 觸電(Electric Shock) 2009/08/31
觸電(Electric Shock)
台中縣立中港高級中學物理科王尊信老師/國立彰化師範大學物理學系洪連輝教授責任編輯所謂觸電是指一定電壓流經過人體而產生足夠高的電流,使人體有麻痺的感覺。人體可以感覺觸電的最小電流大約是一毫安培(mA)。
如果電流超過一百毫安培,則有致命的危險。當電器的火線與外殼接觸時,稱為漏電(current leakage),此時當人誤觸電器外殼時,會因短路而觸電,因此防範這種情形發生的方法為:確實做好接地(ground)工作,如果電器連接地線完整,即使火線與外殼接觸而漏電,人體就算接觸電器外殼也不會觸電。
保持身體乾燥或穿絕緣膠鞋,也是避免觸電的好方法。因為人體在乾燥時,等效電阻約為十萬歐姆,而全身溼透時,等效電阻降為二十分之一,成為五千歐姆,這也是為什麼洗完澡或淋雨過後,特別容易觸電的原因。
在臺灣,交流電頻率為六十赫茲(60 Hz),人體感覺大約是一毫安培;而無法自力脫離,指的是雖然感覺觸電,但因為身體處於麻痺狀態,因此無法由意識控制身體脫離觸電的處境。在六十赫茲下,電流只要超過十三毫安培(13 mA),就無法自力脫離。而超過一百毫安培時,會有立即致命的危險。
在不同頻率下,感覺觸電所需的電流並不相同,低頻下(小於十赫茲)與高頻下(大於一千赫茲)都比較不容易觸電,大約要超過五毫安培才會感覺觸電;尤其在超高頻(一萬赫茲以上),甚至要超過十五毫安培才會使人感覺觸電,因此適合拿來作為特技表演之用。
因此,當年愛迪生在電力系統直流與交流的爭奪戰中說:「直流電比交流電安全」實在是有理論依據,但最終於是以商業考量,交流電以高壓傳輸的損耗遠小於直流電而勝出。 觸電時間的長短與電壓高低決定觸電者的致命與否,一般而言,一百六十伏特(160 V)的電壓通過1秒以上就會有危險,而三百伏特(300 V)的電壓通過0.3杪就會有危險。
- 高空閃電 2009/08/31
高空閃電 (Upper-atmospheric Lightning)
臺中縣立中港高級中學物理科王尊信老師/國立彰化師範大學物理學系洪連輝教授責任編輯所謂高空閃電是指高於平常閃電的閃電行為,尤其在大氣層中的平流層 (stratosphere) 與熱氣層 (thermosphere) 間的閃電行為。因為它發生位置較高、時間比閃電更加短暫、亮度低且常被閃電光輝所遮掩,因此以往的相關研究很少專門針對高空閃電。另外也有人稱高空閃電為「高空放電 (upper-atmospheric discharge)」或「暫態發光事件(transient luminous events,TLEs)」。
截至目前為止,科學家已經發現的高空閃電主要有以下四種:第一種是紅色精靈 (Red Sprites)、第二種是藍色噴流(Blue Jet)、第三種是淘氣精靈(Emission of Light and Very Low Frequency Perturbations From Electro-magnetic Pulse Sources,ELVES)、第四種是由臺灣的成大物理系紅色精靈研究團隊所發現的巨大噴流(Gigantic jets)。臺灣除了是第一個研究巨大噴流的團隊,也發射了福衛二號人造衛星(Formosa satellite II,FORMOSAT-2)提供研究紅色精靈更有利的工具。
2001年科學家在波多黎各亞利希伯天文台(Arecibo Observatory)拍到第一張巨大噴流的照片,2002年成大物理系研究團隊在鵝鑾鼻紀錄到第一個亞洲巨大噴流,它是發生在呂宋島西方海域的雷雨系統與高層大氣間的五個巨大噴流。這個巨大噴流自十六公里高的雲層一直延伸到九十公里高,伴隨著發出低頻電磁波,使它擁有與一般閃電相反的機制,一般閃電是為維持地面與雲層間高達數十萬伏特的電位差,而巨大噴流則是為了降低電離層與地面的電位差。
高空閃電研究的困難點在於大氣層尤其是臭氧層對於高空閃電發射光線的吸收,因此利用人造衛星往下拍攝以及地表衛星運動速度快的兩大優點,提供研究高空閃電很大的幫助,成大物理系研究團隊利用福衛二號的「高空大氣閃電影像儀」發表許多領先國際的研究。研究高空閃電將有助於我們對於閃電機制的深入了解,是太空物理新興的熱門題目之一。
參考資料
- 邁斯納效應(Meissner Effect) 2009/08/30
邁斯納效應(Meissner Effect)
國立虎尾科技大學電子工程系吳添全助理教授/國立彰化師範大學洪連輝教授責任編輯超導體在溫度高於其臨界溫度時,磁通線可自由穿過其內部,亦即超導體處於正常態,如同一般金屬或合金內部可有磁場存在;但溫度低於臨界溫度時,則超導體內之磁場便全被排出其內部,成為零磁場狀態,即為抗磁性(Diamagnetism)。
1933年邁斯納 (W. Meissner) 和奧克森菲爾德(R.Ochsenfeld)對圓柱形超導鉛在垂直其軸向外加磁場下,測量超導圓柱外面磁通密度分佈。實驗證明超導體的磁性質和完全導體完全不同。他發現了不管是先降溫後加磁場,或是先加磁場再降溫,只要金屬從正常態變到超導態後,磁力線就會完全被排除到超導體之外,而磁場能穿透入超導體表面大約只有10-5~10-6cm,超導體內部的磁感應強度B為零,也就是它具有完全抗磁性,此現象稱為邁斯納效應(Meissner effect)。邁斯納效應說明了超導體的另一個基本特性,只要是處於超導態的材料絕不允許磁場存在於它的體內,而且這種超導體在磁場中的行為與加磁場的順序無關。只要溫度低於超導的臨界溫度,超導體內部B=0
這種現象產生的過程是:當超導體放入磁場中時,超導體和一般導體一樣會產生感應電流。一般導體具有電阻,所以感應電流很快地消散掉(可由P=I2R得到能量的轉換)。超導體的電阻為零,感應電流就能一直流動,此電流即為「屏蔽電流」。由於環繞超導表面的屏蔽電流在超導體周圍產生與外部磁場方向相反的磁場,因而阻擋外部磁場進入。
磁浮現象即是由這個原理產生的,可應用在磁浮列車上。簡易觀察超導體所具有獨特的「邁斯納效應」,通常以一小磁鐵磁浮在浸泡有液態氮的高溫超導體之上。


