鳥苷三磷酸(Guanosine triphosphate)
鳥苷三磷酸(Guanosine triphosphate)
國立新莊高級中學陳偉民退休教師/國立台灣師範大學化學系葉名倉教授責任編輯
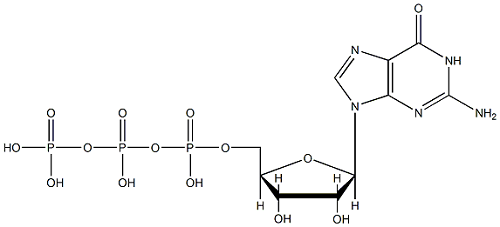
鳥苷-5’-三磷酸(GTP,如圖1)是嘌呤核苷酸的一種,在轉錄過程中,可作為合成RNA的受質。
圖1 鳥苷三磷酸
轉錄又稱RNA合成,其過程會製造與DNA序列相對應的RNA副本。RNA與DNA都是核酸,二者以核苷酸中的鹼基對作為互補語言,有正確的酶存在時,可交互轉換。在轉錄過程中,RNA聚合酶讀取DNA順序後,產生互補、反向平行(antiparallel)的一股RNA。只要原來的DNA中有胸腺嘧啶(T),轉錄產生的RNA副本一定出現尿嘧啶(U),這點與DNA複製非常不同。






