內酯
內酯 (Lactone)
國立臺灣師範大學化學系碩士生 鍾長志
內酯 (lactone) 命名源自於酯類 (ester),為一種環形酯類,與其相像的結構還有內醯胺 (lactam),結構較為簡單的內酯命名以酯基為主體如圖一所示,以希臘字母分別表示,如圖二所示,依序為 a-lactone(三員環)、β-lactone(四員環)、γ-lactone(五員環)、δ- lactone(六員環)、ε-lactone(七員環)。
除了簡單的內酯,還有包含在稠環 (fused ring) 中的內酯、橋聯環 (bridged ring) 中的內酯、以及螺內酯 (spirolactone),如圖三所示。1-3
內酯廣泛存在於天然物結構中,有些具有生物活性以及藥性,如圖四為根據文獻舉例之含內酯結構之天然物。4
有關於內酯的合成方式有很多,比較常見的方式如下:利用酸進行內酯化 (lactonization) 5,6 以及利用過氧酸的方式去氧化產物進而得到到內酯產物7。
δ-lactone(六員環)
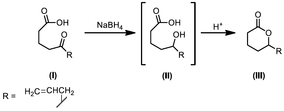
反應機構如圖五所示,帶有羧酸 (carboxylic acid) 官能基的起始物 (I),加入硼氫化鈉 (sodium borohydride, NaBH4) 還原酮 (ketone) 基,得到還原產物 (II),在酸性條件下,經質子轉移 (proton transfer) 以及內酯化作用,可以得到內酯產物 (III)。
ε-lactone(七員環)
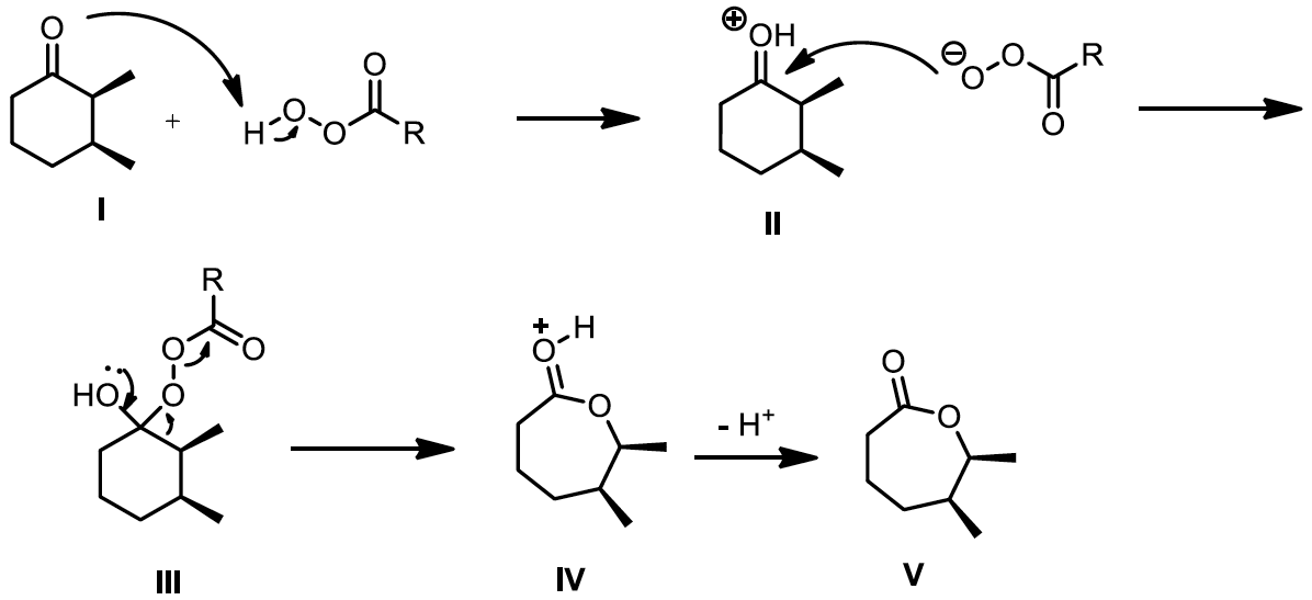
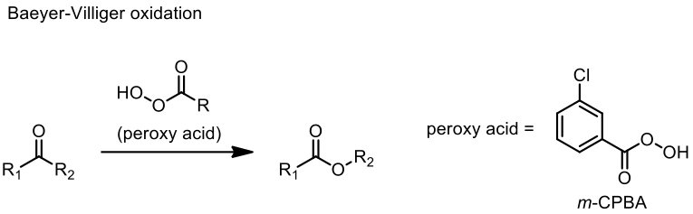
反應機構如圖六所示,以具二甲基取代的環己酮為起始物,加入過氧酸(peroxy acid,如:間氯過氧苯甲酸,3-chloroperoxybenzoic acid, mCPBA)。首先,具取代基的環己酮進行質子化,過氧酸形成去質子化分子 (deprotonated molecule),對被質子化後的中間體 (II) 進行加成,再經環上的電子轉移 (electron transfer) 得到中間產物 (IV),再經一次電子轉移,可以得到擴環的內酯產物 (V)。此反應方式源自於拜耳-維立格氧化反應 (Baeyer-Villiger oxidation)8,9 的概念,如圖七所示,拜耳-維立格氧化反應,透過過氧酸進行氧化反應,將酮類化合物氧化成酯類化合物。
另外,與我們生活息息相關的一種內酯,δ-葡萄糖酸內酯 (δ-gluconolactone) 又稱 glucono-δ-lactone (GDL)10-12,圖八為其結構,是葡萄糖經葡萄糖去氫酶作用所產生的物質,加水分解後,即變成葡萄糖酸,添加在食品中的添加劑,用於調味,是一種白色結晶粉末,口感為甜味且帶有微酸味;它亦是豆腐改良劑,用於添加於豆腐內。衛署使用標準規定如下:δ-葡萄糖酸內酯 (ä-gluconolactone) 可用於各類食品中,但必須視實際需要適量,使用限於食品製造或加工必須時使用12。
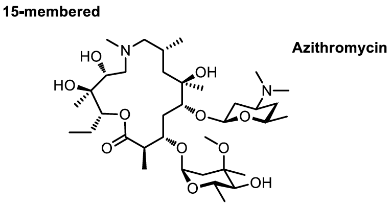
在常見的抗生素中,有很多種是含內酯結構,而這些抗生素中所含的內酯環較大,又稱之巨環內酯 (macrolide)13。已上市的抗生素中,有一稱做亞藥索黴素 (azithromycin),俗稱阿齊黴素14,結構如圖九所示。
根據台灣衛生福利部食品藥物管理署許可證號(衛署藥陸輸字第000469號),阿齊黴素的適應症包括以下:革蘭氏陽性、陰性及厭氧菌引起之下呼吸道感染、皮膚及軟組織感染、中耳炎、上呼吸道感染和性傳染病。
參考文獻
- Khan, F., Dash, J., Sahu, N., & Sudheer, C. (2002). An Easy Access to γ-Lactone-Fused Cyclopentanoids. The Journal Of Organic Chemistry, 67(11), 3783-3787. http://dx.doi.org/10.1021/jo025521e
- Zeevaart, J. A., Gage, D. A., & Talon, M. (1993). Gibberellin A1 is required for stem elongation in spinach. Proceedings of the National Academy of Sciences, 90(15), 7401-7405.
- Yeh, M. C. P., Lee, Y. C., & Young, T. C. (2006). A facile approach to the synthesis of allylic spiro ethers and lactones. Synthesis, (21), 3621-3624.
- Seitz, M., & Reiser, O. (2005). Synthetic approaches towards structurally diverse γ-butyrolactone natural-product-like compounds. Current opinion in chemical biology, 9(3), 285-292.
- Utaka, M., Kuriki, H., Sakai, T., & Takeda, A. (1986). New synthesis of jasmine lactone and related. delta.-lactones from 1, 2-cyclohexanedione. Preparation and dye-sensitized photooxygenation of 3-(2-alkenyl)-and 3-(2-alkynyl)-1, 2-cyclohexanediones. The Journal of Organic Chemistry, 51(6), 935-938.
- Schulz, S., & Hötling, S. (2015). The use of the lactone motif in chemical communication. Natural product reports, 32(7), 1042-1066.
- Magnusson, G. (1977). Pheromone synthesis. Preparation of erythro-3, 7-dimethylpentadecan-2-ol, the alcohol from pine sawfly sex attractant (Hymenoptera: Diprionidae). Tetrahedron Letters, 18(31), 2713-2716.
- Baeyer, A., & Villiger, V. (1899). Einwirkung des caro’schen reagens auf ketone. Berichte der deutschen chemischen Gesellschaft, 32(3), 3625-3633.
- Strukul, G. (1998). Transition Metal Catalysis in the Baeyer-Villiger Oxidation of Ketones. Angewandte Chemie International Edition, 37(9), 1198-1209.
- 汪永盛(民九十七年一月)。天然物什吡俊、獼猴桃鹼和喜樹鹼的合成研究。國立中山大學化學研究所。
- 姜元傑(民九十八年一月)。用黑麴菌的液態醱酵生產葡萄糖酸。大同大學生物工程研究所。
- 食品添加物手冊|衛生福利部食品藥物管理屬。http://www.fda.gov.tw/TC/siteContent.aspx?sid=4321#.V2yXYZN96i4
- Hansen, J., Ippolito, J., Ban, N., Nissen, P., Moore, P., & Steitz, T. (2002). The Structures of Four Macrolide Antibiotics Bound to the Large Ribosomal Subunit. Molecular Cell, 10(1), 117-128.
- Broad, J., & Sanger, G. J. (2013). The antibiotic azithromycin is a motilin receptor agonist in human stomach: comparison with erythromycin. British journal of pharmacology, 168(8), 1859-1867.











前一篇文章
下一篇文章
