測不準原理
測不準原理 (Uncertainty Principle)
高雄市立高雄女子高級中學物理科蔡宗賢老師/國立彰化師範大學洪連輝教授責任編輯
在量子力學中,海森堡(Heisenberg)的測不準原理,陳述如果確定粒子的位置,將使它的動量不確定性增加;相反的,如果精確測量粒子的動量,將使它的位置的不確定性增加。
在量子力學中,用波動來描述粒子。確定粒子的位置也就是波的位置,而與粒子速度有關的動量,所代表的就是波的波長,將無法被確定。位置與速度無法同時精確地被定義;當波傳播時,粒子的位置將不確定到某種的程度,當波長無法清楚的定義時,動量將不確定到某種程度。
只有一種波能確實的侷限在一點上,這種波就是沒有波長的波;相反地,有波長的連續週期波在空間上我們無法確實地知道波的位置。所以在量子力學上,是無法同時確實知道粒子的位置與動量,粒子位置的確定性分布愈窄,動量的不確定性分布就愈寬。
舉例來說,測不準原理提及我們要測量原子的位置,必須使用光子,而反射的光子,將改變原子的動量,而原子動量的改變程度,與測量原子位置的準確度有關。不管實驗如何安排,而這些不確定性也無法降低到某一程度以下。
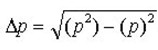
在數學的原理上,每個量子態的位置分布的方均根偏差(root-mean-square)(位置分布的標準差):
![]()
乘上動量的方均根偏差(動量分布的標準差):

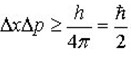
不會小於普朗克 (Planck) 常數的一個小固定的倍數:

測不準原理與觀察者有關,位置與動量經常是無法同時被確定得知 (conflate)。在量子力學的哥本哈根解釋中,測不準原理是無論觀察者如何操作下,使位置與動量不確定性達到最小偏差的一個理論限制。也就是說任何位置Δx的精確測量,將使得量子狀態的動量標準偏差值:

參考資料


前一篇文章
下一篇文章
柯爾磁光效應 
