染料(Dye)
染料(Dye)
台北縣立三重高級中學化學科潘鈺婷老師/國立台灣大學化學系陳藹然博士責任編輯
顏色常被引申為某些象徵,例如:紅色代表熱情,白色代表純潔,紫色代表高貴等等,我們可以用顏料或染料改變物質的顏色。大部分的人都認為顏料與染料是相同的東西,實則不然。色素藉由吸收某段可見光的波長,改變纖維的顏色;顏料是含有色素的黏著劑,目的是藉由色素在物體表面上擴散再緊緊附著於其上,而染料則是讓色素滲入表面黏在材料的每一條纖維上。不同類型的染料利用不同化學作用,黏附在纖維上;本文以介紹染料相關化學為主。
在1856年英國化學家柏金(W. Perkin, 1838-1907)發明第一個合成染料(mauveine)之前,所有染料都是取自天然,來自於植物、動物與礦物。數千年前,我們使用的纖維大多是動物纖維,例如羊毛、兔毛與蠶絲等等,這些纖維都是由蛋白質所構成,而天然染料如漿果和植物製染料可和動物蛋白質分子產生吸引力結合,於是染色完成了。染料分子與水分子間也有分子間引力,所以染料可溶於水,我們要將動物性纖維染色時只要將其放進含染料的水溶液中,靜置一段時間等待染料與纖維分子形成鍵結,由於這種鍵結並不緊密,所以染色後經水洗可能會出現褪色,因此這類染料通常用在不太需要常清洗的物品例如地毯的染色。
1856年當時瘧疾盛行,而治療瘧疾的奎寧只能由東印度所產的金雞納樹皮提煉,常常供不應求,因此柏金設計了一個由toluidine合成奎寧的方法,希望可以解決奎寧供應量不足的問題,然而卻只得到紅褐色的沉澱物,改用苯胺只得到黑色的沉澱物。在用水或酒精清洗這些沉澱物時,柏金發現這些溶劑變為紫色,他將衣料拿來泡在這些紫色溶液中,衣料被染為紫色,他看出這個意外產物具有商業價值,將其申請專利並設立工廠大量製造,從此人們在染色時又多了新的選擇,合成染料成為新興工業。
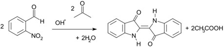
1883年德國化學家拜耳(A. von Baeyer, 1835-1917)發展出合成靛藍(Indigo)的方法,由於他在有機染料與氫芳香化合物的研究,對有機化學與化學工業極有貢獻而獲得1905年諾貝爾化學獎。
圖一:von Baeyer–Drewsen(馮‧拜耳-德維森)靛藍合成
靛藍在1883年以前都是取自一種豌豆科植物靛藍(indigofera tinctoria)。1850年舊金山淘金熱時開始出現的牛仔褲,其藍色也來自靛藍;牛仔褲是由棉花紡成棉紗織成的,棉花成分為纖維素,靛藍不溶於水,但在鹼性環境下可還原為水溶性染料靛白,纖維素與水溶性染料短暫接觸之後吸收染料,染料分子形狀剛好可以嵌入纖維素直鏈間的空隙,染料與纖維素之間以氫鍵與凡得瓦力結合,染色後的棉紗接觸空氣中的氧並在熱或光的環境中氧化回不溶於水的靛藍,而此時靛藍已被困在纖維素中,不易脫離布料。
圖二:靛藍及其leuco-base的分子結構式(引自生活與化學2)
由上述過程,若希望衣料不易褪色,所使用的染料分子必須溶於水以便滲透衣料,與纖維結合,進入衣料後,要不溶於水或與纖維緊密結合。媒染劑(mordant,通常是金屬離子),它可以分別與衣料及纖維形成鍵結,使染料得以固定在衣料上。媒染劑與染料分子鍵結時,會改變分子結構,因此利用不同媒染劑可使一種染料顯示不同顏色。目前合成染料發展成熟,很多現代染料為複合式染料,包含許多不同類型的染劑,可同時將不同類型的纖維上色,讓人們生活更加多采多姿。
參考資料:
1. 余岳川 著,《生活與化學2》,眾光文化事業有限公司,民國91年。
2. 班特利 著,葉偉文 譯,《不懂科學會倒大楣》,天下遠見出版股份有限公司,2009年初版。
3. 維基百科網站–Baeyer–Drewsen靛藍合成 (圖一)http://zh.wikipedia.org/zh-tw/Baeyer–Drewsen靛藍合成




前一篇文章
下一篇文章
