化學示範實驗:神奇的閃光紙[II]
化學示範實驗:神奇的閃光紙(How to Make Flash Paper for Magic Tricks)[II]
國立台中高級工業職業學校化工科陸冠輝老師/國立彰化師範大學化學系楊水平副教授責任編輯
原理和概念
● 硝化纖維或硝基纖維素(Nitrocellulose),又名纖維素硝酸酯(cellulose nitrate),也稱為閃光紙(flash paper),通常由棉絨纖維和木漿等纖維材料浸入濃硝酸和濃硫酸混合液或其他的硝化劑中製得,硝酸提供硝基,硫酸當作催化劑,纖維素轉換成硝酸纖維素和水,其反應稱為硝化反應(nitration),如下反應式所示。
3HNO3+ C6H10O5 → C6H7(NO2)3O5 + 3H2O
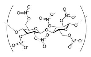
在上述反應式中,C6H10O5為纖維素的單體,C6H7(NO2)3O5為硝化纖維的單體。纖維素的結構式如圖十五所示,硝化纖維的結構式如圖十六所示。
圖片來源:Cellulose, Wikipedia, http://en.wikipedia.org/wiki/Cellulose
圖片來源:Nitrocellulose, Wikipedia, http://en.wikipedia.org/wiki/Nitrocellulose







