角動量(Angular Momentum)
角動量(Angular Momentum)
台中縣常春藤高級中學物理科李品慧老師/國立彰化師範大學物理學系洪連輝教授責任編輯
角動量,就如動量一般,是一個可用來表徵物體運動特徵的物理量。對於一個繞定點轉動的物體而言,角動量為物體到原點的距離與其速度向量的外積,再乘上質量,而系統角動量為其中各質點角動量的總和。
二維系統裡,質量m的質點相對於原點的角動量為
L=r×p=rmvsinθ
其中L為質點的角動量,r為質點到原點的位置向量,p為線動量,x為向量外積,m為質量,v為速度,θ為v與r向量的夾角。角動量的SI制單位為N•m•s ,kg•m2s-1。角動量為向量,它的方向可由右手定則決定,先以右手四手指指向質點位置向量的方向,然後握向小於180度角動量的方向,則大拇指的指向即為角動量的方向。
如果質點作圓運動,取圓心為坐標系的原點,則質點的角動量為
L=rp=rmv
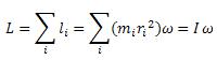
若考慮剛體轉動,由於每個質點皆以相同的角速度ω作圓運動,若質點和轉軸間的垂直距離為ri,則其速率vi=ri ω ,因此第i個質點相對於轉軸的角動量為
li=rimivi=rimi(ri ω)=(miri2)ω
相對於同一參考點或同一轉軸,剛體的總角動量為所有質點角動量的向量和,即

其中I為剛體繞轉軸的轉動慣量。
如果剛體所受的合力矩不為零,則剛體將有一角加速度,因此其角速度ω將隨時間而改變。若在∆t的時間間隔內,角速度由ω變化至ω+∆ω,則剛體的角動量亦由L變化至L+∆L,因此
∆L=I∆ω

即剛體所受的合力矩等於其角動量的時變率。如果剛體所受的合力矩為零,則∆L=0,則角動量為一定值,不隨時間而變,我們稱為角動量守恆定律。
角動量守恆定律使其在物理學中佔有很重要的地位:若獨立系統中所受的合力矩為零,其角動量為固定常數。角動量守恆是自然界普遍存在的基本定律之一,在物理與工程中有許多的應用。


前一篇文章
下一篇文章
