代謝
代謝(Metabolism)
國立新莊高級中學陳偉民退休教師/國立臺灣師範大學化學系葉名倉教授責任編輯
代謝是生物體為了維持生命所進行的一系列化學反應,這些反應使生物體能成長、繁殖、維持身體結構並對環境做適當的反應。代謝通常分為兩個範疇:異化代謝(catabolism)將有機物質分解,例如利用細胞呼吸以獲取能量;同化代謝(anabolism)消耗能量以建構細胞的成分如蛋白質與胺基酸。
代謝的化學反應被組織成代謝途徑,在代謝途徑中,化合物被一連串的酶催化,經由一系列的步驟轉化為另一種化合物。在代謝過程中,酶十分重要,酶可使生物體進行必要的反應,這些反應因需消耗能量,本身不會自然發生,酶可將這些反應與某些可釋出能量的自發反應結合。以酶作為催化劑,可使這些反應快速而有效的進行,酶也可因應細胞環境的變化及其他細胞發出的信號而調整代謝途徑。
生物體的代謝決定何種物質為營養素,何種物質有毒。例如某些原核生物(prokaryote)使用硫化氫為營養素,然而對動物而言,此種氣體有毒。代謝的速率,又稱代謝率(metabolic rate)也會影響生物體需要多少食物。代謝有一項值得注意的特色,在非常不同的物種間具有相似的代謝途徑及代謝物質。例如作為檸檬酸循環中間物的數種羧酸,在所有生物體中均可發現,其中包含單細胞細菌大腸桿菌及體積龐大的多細胞生物如大象等。可能由於這些代謝途徑的高效率,而且在演化史的早期,這些途徑即已存在,所以不同生物間的代謝才會有如此驚人的相似性。
關鍵性化合物
構成動物、植物與微生物的大部分組織是由三類基本分子組成:胺基酸、醣和脂質(通常稱為脂肪)。因為這些分子是生命不可或缺的,代謝反應主要的工作,即在建構細胞與組織時製造這些分子,或在消化與利用食物時,將這些分子分解,並以其作為能源。許多重要的化合物可以結合在一起,製造如DNA和蛋白質等聚合物。這些巨分子是所有生物體必要的物質,下表中列出了一些最常見的生化聚合物。
胺基酸與蛋白質
蛋白質是由胺基酸構成,胺基酸排列成鏈狀再以肽鍵連接在一起。許多蛋白質是可催化代謝化學反應的酶,其他蛋白質則有結構或機械功能,例如形成細胞骨架(cytoskeleton)的蛋白質,這是一種維持細胞形狀,類以鷹架的系統。蛋白質在細胞信號、免疫反應、細胞吸附(cell adhesion)、穿透細胞膜的主動運輸及細胞循環都非常重要。
脂質
脂質是生化物質中種類最繁雜的一類。脂質主要用途是構成生物膜(如細胞膜)的一部分,或作為能量的來源。脂質通常定義為可溶於有機溶劑(如苯或氯仿)的疏水性或兩親媒性生物分子。脂肪是含脂肪酸與甘油的許多化合物的總稱;甘油與三個脂肪酸構成的酯是三醯甘油(如圖1)。此一基本結構有許多種變化,包括神經脂質中的神經胺醇(sphingosin),連主鏈都與三醯甘油不同。固醇類(如膽固醇)是另一類細胞製造的主要脂質。
醣
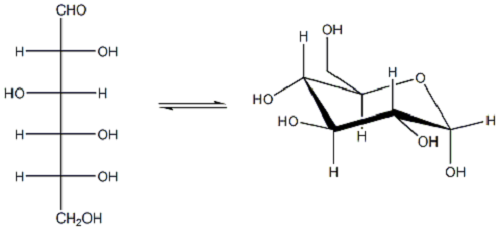
醣是有許多羥基的直鏈醛或酮,可以直鏈或環狀存在。醣是含量最豐富的生物分子,且扮演多種角色,如貯存並輸送能量(澱粉、肝醣),和結構上的成分(植物的纖維,動物的幾丁質)。醣類最基本的單位稱為單醣,包括半乳糖、果糖和最重要的葡萄糖(如圖2)。單醣幾乎可以無限制的連接形成多醣。
核苷酸
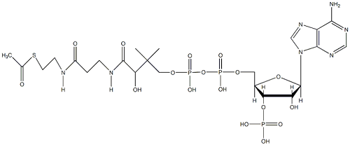
聚合物DNA和RNA是長鏈的核苷酸,經由轉錄和蛋白質生物合成,這些分子成為儲存及利用遺傳資訊時必要的物質。利用DNA修復可以保護遺傳資訊,利用DNA複製傳遞遺傳資訊。少數病毒,如HIV,有RNA基因體,利用反轉錄由其病毒RNA基因體製造DNA模板。在核糖核酸酵素(ribozyme)(如剪接體(spliceosome)和核糖體)中的RNA與酶相似,可以加速化學反應。鹼基連接在核糖上,形成核苷。這些鹼基是含有氮的雜環,分為嘌呤和嘧啶兩類。在代謝性基轉移(group transfer)反應中,核苷酸也作為輔酶(如圖3)。
輔酶
代謝涉及許多化學反應,但大多可歸類為數種官能基轉移的基本類型。此種化學共通性,使得細胞只用少數幾組代謝中間物,在不同的反應之間轉移化學基團,這些基轉移的中間物稱為輔酶。每一種基轉移反應都有特定的輔酶(如圖4),這些輔酶作為受質,有一組酶製造它,有一組酶消耗它。因此,這些輔酶不停的被製造、被消耗,接著再回收。

圖4 輔酶乙醯Co-A的結構。在分子最左端,可轉移的乙醯基鍵結在硫原子上。
礦物質與輔因子
無機物質在代謝中扮演重要角色,其中某些元素含量頗豐(如鈉和鉀),有些濃度很小即可發揮功能。哺乳動物質量中約99%為碳、氮、鈣、鈉、氯、鉀、氫、磷、氧和硫。碳和氮大多存在於有機化合物(蛋白質、脂質和醣)中,而大多數氧和氫則以水的形式存在。
參考資料
1. http://en.wikipedia.org/wiki/Metabolism
2. http://en.wikipedia.org/wiki/Cell_adhesion
3. http://en.wikipedia.org/wiki/Sphingosine






前一篇文章
下一篇文章
