行列式的應用
行列式的應用(Applications of Determinant)
國立臺南第一高級中學林倉億老師
連結:行列式的性質
以下介紹行列式在高中數學中主要的應用:
- 表示平面上三角形的面積
\(\vec{OA}=(a_1,b_1)\)、\(\vec{OB}=(a_2,b_2)\),則 \(\Delta OAB\) 面積 \(= \frac{1}{2}\left| {\left| { \begin{array}{*{20}{c}} {{a_{ 1}}}&{{b_{ 1}}}\\ {{a_{ 2}}}&{{b_{ 2}}} \end{array} } \right|} \right|\)
(\(\frac{1}{2}\) 乘以 \(\left| { \begin{array}{*{20}{c}} {{a_{ 1}}}&{{b_{ 1}}}\\ {{a_{ 2}}}&{{b_{ 2}}} \end{array} } \right|\) 的絕對值)。
【證明】:
由三角形面積公式 \(\Delta OAB = \frac{1}{2}\sqrt {{{\left| {\vec{OA}} \right|}^2}{{\left| {\vec{OB}} \right|}^2} – {{\left( {\vec{OA} \cdot\vec{OB}} \right)}^2}}\)
可得
\(\begin{array}{ll}\Delta OAB &= \frac{1}{2}\sqrt {({a_{ 1}}^2 + {b_{ 1}}^2)({a_{ 2}}^2 + {b_{ 2}}^2) – {{\left( {{a_{ 1}}{a_{ 2}} + {b_{ 1}}{b_{ 2}}} \right)}^2}} \\&= \frac{1}{2}\sqrt {{a_{ 1}}^2{b_{ 2}}^2 + {a_{ 2}}^2{b_{ 1}}^2 – 2{a_{ 1}}{a_{ 2}}{b_{ 1}}{b_{ 2}}} = \frac{1}{2}\sqrt {{{\left( {{a_{ 1}}{b_{ 2}} – {a_{ 2}}{b_{ 1}}} \right)}^2}} \\&= \frac{1}{2}\sqrt { {{\left| { \begin{array}{*{20}{c}} {{a_{ 1}}}&{{b_{ 1}}}\\ {{a_{ 2}}}&{{b_{ 2}}} \end{array} } \right|}^2}} = \frac{1}{2}\left| {\left| { \begin{array}{*{20}{c}} {{a_{ 1}}}&{{b_{ 1}}}\\ {{a_{ 2}}}&{{b_{ 2}}} \end{array} } \right|} \right|\end{array}\) - 表示空間中兩不平行向量的外積
\(\vec{OA}=(a_1,b_1,c_1)\),\(\vec{OB}=(a_2,b_2,c_2)\),則 \(\vec{OA}\) 與 \(\vec{OB}\) 的外積
可記作 \(\vec{OA}\times\vec{OB}= ( \left| { \begin{array}{*{20}{c}} {{b_{ 1}}}&{{c_{ 1}}}\\ {{b_{ 2}}}&{{c_{ 2}}} \end{array} } \right| , \left| { \begin{array}{*{20}{c}} {{c_{ 1}}}&{{a_{ 1}}}\\ {{c_{ 2}}}&{{a_{ 2}}} \end{array} } \right| , \left| { \begin{array}{*{20}{c}} {{a_{ 1}}}&{{b_{ 1}}}\\ {{a_{ 2}}}&{{b_{ 2}}} \end{array} } \right| )\) - 表示空間中三角形面積
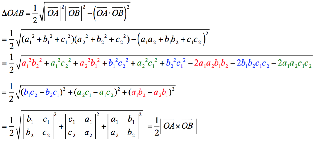
\(\vec{OA}=(a_1,b_1,c_1)\),\(\vec{OB}=(a_2,b_2,c_2)\),
則 \(\Delta OAB\) 面積 \(=\frac{1}{2}|\vec{OA}\times\vec{OB}|= \frac{1}{2}\sqrt { {{\left| { \begin{array}{*{20}{c}} {{b_{ 1}}}&{{c_{ 1}}}\\ {{b_{ 2}}}&{{c_{ 2}}} \end{array} } \right|}^2} + {{\left| { \begin{array}{*{20}{c}} {{c_{ 1}}}&{{a_{ 1}}}\\ {{c_{ 2}}}&{{a_{ 2}}} \end{array} } \right|}^2} + {{\left| { \begin{array}{*{20}{c}} {{a_{ 1}}}&{{b_{ 1}}}\\ {{a_{ 2}}}&{{b_{ 2}}} \end{array} } \right|}^2}} \)
【證明】:

- 表示空間中三向量所展成的平行六面體體積
\(\vec{OA}=(a_1,b_1,c_1)\),\(\vec{OB}=(a_2,b_2,c_2)\),\(\vec{OC}=(a_3,b_3,c_3)\),則 \(\vec{OA}\)、\(\vec{OB}\)、\(\vec{OC}\) 在空間中所展成的平行六面體體積為 \(\left| {\left| { \begin{array}{*{20}{c}} {{a_{ 1}}}&{{b_{ 1}}}&{{c_{ 1}}}\\ {{a_{ 2}}}&{{b_{ 2}}}&{{c_{ 2}}}\\ {{a_{ 3}}}&{{b_{ 3}}}&{{c_{ 3}}} \end{array} } \right|} \right|\) (\(\left| { \begin{array}{*{20}{c}} {{a_{ 1}}}&{{b_{ 1}}}&{{c_{ 1}}}\\ {{a_{ 2}}}&{{b_{ 2}}}&{{c_{ 2}}}\\ {{a_{ 3}}}&{{b_{ 3}}}&{{c_{ 3}}} \end{array} } \right|\) 的絕對值)。
【證明】:
\(\vec{OA}\)、\(\vec{OB}\)、\(\vec{OC}\) 在空間中所展成的平行六面體體積公式為 \(V=|\vec{OC}\cdot(\vec{OA}\times \vec{OB})|\),
又 \(\vec{OA}\times\vec{OB}=( \left| { \begin{array}{*{20}{c}} {{b_{ 1}}}&{{c_{ 1}}}\\ {{b_{ 2}}}&{{c_{ 2}}} \end{array} } \right| , \left| { \begin{array}{*{20}{c}} {{c_{ 1}}}&{{a_{ 1}}}\\ {{c_{ 2}}}&{{a_{ 2}}} \end{array} } \right| , \left| { \begin{array}{*{20}{c}} {{a_{ 1}}}&{{b_{ 1}}}\\ {{a_{ 2}}}&{{b_{ 2}}} \end{array} } \right| )\),
代入可得

- 平面上三相異直線恰交於一點的條件
\(L_1:a_1x+b_1y=c_1\)、\(L_2:a_2x+b_2y=c_2\)、\(L_2:a_2x+b_2y=c_2\)
為平面上互異的三條直線,若此三條直線恰交於一點,則 \(\left| { \begin{array}{*{20}{c}} {{a_{ 1}}}&{{b_{ 1}}}&{{c_{ 1}}}\\ {{a_{ 2}}}&{{b_{ 2}}}&{{c_{ 2}}}\\ {{a_{ 3}}}&{{b_{ 3}}}&{{c_{ 3}}} \end{array} } \right| = 0\)。
(其逆不真,反例是三平行直線依然具有此條件,所以三條相異直線方程式係數所成的行列式為 \(0\),並不能保證三條直線恰交於一點。)
【證明】:
由二階克拉瑪公式可知 \(L_1:a_1x+b_1y=c_1\) 與 \(L_2:a_2x+b_2y=c_2\) 的交點坐標
為 \(( \frac{{\left| { \begin{array}{*{20}{c}} {{c_{ 1}}}&{{b_{ 1}}}\\ {{c_{ 2}}}&{{b_{ 2}}} \end{array} } \right|}}{{\left| { \begin{array}{*{20}{c}} {{a_{ 1}}}&{{b_{ 1}}}\\ {{a_{ 2}}}&{{b_{ 2}}} \end{array} } \right|}} , \frac{{\left| { \begin{array}{*{20}{c}} {{a_{ 1}}}&{{c_{ 1}}}\\ {{a_{ 2}}}&{{c_{ 2}}} \end{array} } \right|}}{{\left| { \begin{array}{*{20}{c}} {{a_{ 1}}}&{{b_{ 1}}}\\ {{a_{ 2}}}&{{b_{ 2}}} \end{array} } \right|}} )\),代入 \(L_3:a_3x+b_3y=c_3\),
得 \({a_3} \cdot \frac{{\left| { \begin{array}{*{20}{c}} {{c_{ 1}}}&{{b_{ 1}}}\\ {{c_{ 2}}}&{{b_{ 2}}} \end{array} } \right|}}{{\left| { \begin{array}{*{20}{c}} {{a_{ 1}}}&{{b_{ 1}}}\\ {{a_{ 2}}}&{{b_{ 2}}} \end{array} } \right|}} + {b_3} \cdot \frac{{\left| { \begin{array}{*{20}{c}} {{a_{ 1}}}&{{c_{ 1}}}\\ {{a_{ 2}}}&{{c_{ 2}}} \end{array} } \right|}}{{\left| { \begin{array}{*{20}{c}} {{a_{ 1}}}&{{b_{ 1}}}\\ {{a_{ 2}}}&{{b_{ 2}}} \end{array} } \right|}} = {c_3}\),兩邊同乘以 \(\left| { \begin{array}{*{20}{c}} {{a_{ 1}}}&{{b_{ 1}}}\\ {{a_{ 2}}}&{{b_{ 2}}} \end{array} } \right|\),
再移項得 \({a_3} \cdot \left| { \begin{array}{*{20}{c}} {{c_{ 1}}}&{{b_{ 1}}}\\ {{c_{ 2}}}&{{b_{ 2}}} \end{array} } \right| + {b_3} \cdot \left| { \begin{array}{*{20}{c}} {{a_{ 1}}}&{{c_{ 1}}}\\ {{a_{ 2}}}&{{c_{ 2}}} \end{array} } \right| – {c_3}\left| { \begin{array}{*{20}{c}} {{a_{ 1}}}&{{b_{ 1}}}\\ {{a_{ 2}}}&{{b_{ 2}}} \end{array} } \right| = 0\),
利用行列式的性質,可再寫成 \({a_3} \cdot \left| { \begin{array}{*{20}{c}} {{b_{ 1}}}&{{c_{ 1}}}\\ {{b_{ 2}}}&{{c_{ 2}}} \end{array} } \right| – {b_3} \cdot \left| { \begin{array}{*{20}{c}} {{a_{ 1}}}&{{c_{ 1}}}\\ {{a_{ 2}}}&{{c_{ 2}}} \end{array} } \right| + {c_3}\left| { \begin{array}{*{20}{c}} {{a_{ 1}}}&{{b_{ 1}}}\\ {{a_{ 2}}}&{{b_{ 2}}} \end{array} } \right| = 0\),
等號左邊其實就是 \(\left| { \begin{array}{*{20}{c}} {{a_{ 1}}}&{{b_{ 1}}}&{{c_{ 1}}}\\ {{a_{ 2}}}&{{b_{ 2}}}&{{c_{ 2}}}\\ {{a_{ 3}}}&{{b_{ 3}}}&{{c_{ 3}}} \end{array} } \right|\) 依第 \(3\) 列降階展開的結果,
故得證 \(\left| { \begin{array}{*{20}{c}} {{a_{ 1}}}&{{b_{ 1}}}&{{c_{ 1}}}\\ {{a_{ 2}}}&{{b_{ 2}}}&{{c_{ 2}}}\\ {{a_{ 3}}}&{{b_{ 3}}}&{{c_{ 3}}} \end{array} } \right| = 0\)。 - 二階方陣可逆的充要條件
\(A = \left[ { \begin{array}{*{20}{c}} {{a_{ 1}}}&{{b_{ 1}}}\\ {{a_{ 2}}}&{{b_{ 2}}} \end{array} } \right]\),定義 \(\det A = \left| { \begin{array}{*{20}{c}} {{a_{ 1}}}&{{b_{ 1}}}\\ {{a_{ 2}}}&{{b_{ 2}}} \end{array} } \right|\)。\(A\) 為可逆方陣 \(\Leftrightarrow \det A=0\)。
【證明】:
\(A = \left[ { \begin{array}{*{20}{c}} {{a_{ 1}}}&{{b_{ 1}}}\\ {{a_{ 2}}}&{{b_{ 2}}} \end{array} } \right]\) 為可逆方陣,故存在唯一非零方陣 \(\left[ { \begin{array}{*{20}{c}} {{x_{ 1}}}&{{x_{ 2}}}\\ {{y_{ 1}}}&{{y_{ 2}}} \end{array} } \right]\) 使得
\(\left[ { \begin{array}{*{20}{c}} {{a_{ 1}}}&{{b_{ 1}}}\\ {{a_{ 2}}}&{{b_{ 2}}} \end{array} } \right] \cdot \left[ { \begin{array}{*{20}{c}} {{x_{ 1}}}&{{x_{ 2}}}\\ {{y_{ 1}}}&{{y_{ 2}}} \end{array} } \right] = \left[ { \begin{array}{*{20}{c}} 0&0\\ 0&0 \end{array} } \right]\\\Leftrightarrow \left[ { \begin{array}{*{20}{c}} {{a_{ 1}}{x_{ 1}} + {b_{ 1}}{y_{ 1}}}&{{a_{ 1}}{x_{ 2}} + {b_{ 1}}{y_{ 2}}}\\ {{a_{ 2}}{x_{ 1}} + {b_{ 2}}{y_{ 1}}}&{{a_{ 2}}{x_{ 2}} + {b_{ 2}}{y_{ 2}}} \end{array} } \right] = \left[ { \begin{array}{*{20}{c}} 0&0\\ 0&0 \end{array} } \right]\)
\(\Leftrightarrow \left\{ \begin{array}{l} {a_{ 1}}{x_{ 1}} + {b_{ 1}}{y_{ 1}} = 0\\ {a_{ 2}}{x_{ 1}} + {b_{ 2}}{y_{ 1}} = 0 \end{array} \right.\) 與 \(\left\{ \begin{array}{l} {a_{ 1}}{x_{ 2}} + {b_{ 1}}{y_{ 2}} = 0\\ {a_{ 2}}{x_{ 2}} + {b_{ 2}}{y_{ 2}} = 0 \end{array} \right.\) 這兩個方程組都有非 \((0,0)\) 之解
\(\Leftrightarrow \left| { \begin{array}{*{20}{c}} {{a_{ 1}}}&{{b_{ 1}}}\\ {{a_{ 2}}}&{{b_{ 2}}} \end{array} } \right| = 0\Leftrightarrow \det A = 0\) - \(n\) 階方陣可逆的充要條件
可以將6.推廣到 \(n\) 階方陣,即 \(A = \left[ { \begin{array}{*{20}{c}} {{a_{ 11}}}&{{a_{ 12}}}&{{a_{ 13}}}& \cdots &{{a_{ 1n}}}\\ {{a_{ 21}}}&{{a_{ 22}}}&{{a_{ 23}}}& \cdots &{{a_{ 2n}}}\\ \vdots & \vdots & \vdots & \vdots & \vdots \\ {{a_{ n1}}}&{{a_{ n2}}}&{{a_{ n3}}}& \cdots &{{a_{ n{\kern 1pt} n}}} \end{array} } \right]\) 為 \(n\) 階方陣,\(n\ge 3\),定義 \(\det A = \left| { \begin{array}{*{20}{c}} {{a_{ 11}}}&{{a_{ 12}}}&{{a_{ 13}}}& \cdots &{{a_{ 1n}}}\\ {{a_{ 21}}}&{{a_{ 22}}}&{{a_{ 23}}}& \cdots &{{a_{ 2n}}}\\ \vdots & \vdots & \vdots & \vdots & \vdots \\ {{a_{ n1}}}&{{a_{ n2}}}&{{a_{ n3}}}& \cdots &{{a_{ n{\kern 1pt} n}}} \end{array} } \right|\)。
【證明】:仿6.之證明,略。


前一篇文章
下一篇文章

有關inverse matrix,
AA^-1 = I
所以方陣可逆的條件是det(A) != 0