布里格斯的《對數算術》與對數表的製作(III)
布里格斯的《對數算術》與對數表的製作(III) (Briggs’ Arithmetica Logarithmica and the creation of logarithmic table, part 3)
臺北市立西松高中蘇惠玉教師
《對數算術》第 $$8$$ 章
在第 $$6$$、$$7$$ 兩章中,布里格斯為了處理連續開方,需要花費相當大的時間與精力在作開方的計算上。因此,他需要有個方法可以幫助他減少計算量,他將使用的方法寫在第 $$8$$ 章,稱為差分法(difference method)。
布里格斯在作開方時,發現一個 $$1$$ 點多的數開方,小數部分的值幾乎是原本的二分之一,藉由這樣的觀察,他利用與一半的「差距」,用一系列的演算法求得連續開方的下一項,以減少龐大的開方工作量。
首先,布里格斯選擇作連續幾次平方根後,小數點後面有 $$3$$ 或 $$4$$ 個 $$0$$ 之數為起始值,
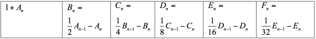
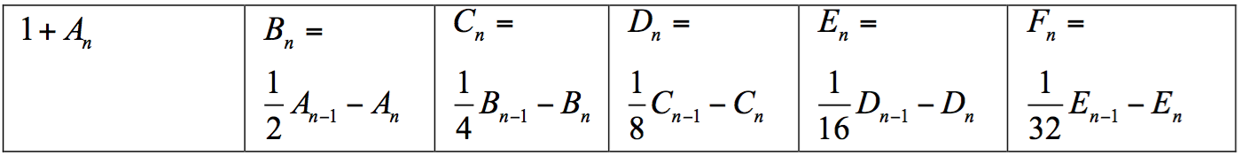
分別計算 $$B,C,D,E,F$$ 等欄位的值,他們之間的關係如下:
他從 $$6^9/10^7=1.0077696$$ 開始作連續開方,其中 $$1+A_n$$ 表示作第 $$n$$ 次開方的值,
並依序計算相對應的 $$B,C,D,E,F$$ 等欄位的值。


