聲波

回聲

回聲 (Echo)
國立臺灣大學電機工程學系 伍庭曄

回聲,或回音 (echo) 一詞大家一定不陌生,在空曠的禮堂大喊、學校的室內體育館運球抑或是對著山谷放歌,都能體驗到回聲的物理現象。而本篇文章的目的即在解釋回聲此物理現象,並大略的介紹描述聲波的方式以及介紹在波動學、力學及工程數學中都極其重要的運算:折積(又作「捲積」,convolution)。

3D有趣實驗:空氣砲

3D有趣實驗:空氣砲
國立臺北教育大學自然科學教育系 碩士班湯筑翔

前言

本實驗利用簡單的裝置,以及乾冰遇水產生煙霧之特性,了解聲波傳播的特性以及空氣的流動。

實驗影片

3D有趣實驗:空氣砲,上傳YouTube網站。請依您的設備選擇適當影片觀看。若設備允許,可以開啟最高解析度。

show1

3D偏光影像:需要有3D螢幕與搭配的3D眼鏡,能觀看此部影片的3D效果。

http://youtu.be/Myoe5bO0gRM (1920×1080 半寬)

http://youtu.be/zhPZ09mXgGw  (1920×1080 全寬)

3D紅藍影像:一般螢幕搭配戴紅藍眼鏡,能觀看此部影片的3D效果。http://youtu.be/32rb9tIuGe4

2D影像:一般螢幕直接觀看。http://youtu.be/65oFwi07l40

聲波冷卻冰箱(Acoustic Refrigerator)

聲波冷卻冰箱(Acoustic Refrigerator)
國立臺灣大學化學系學士生張育唐/國立臺灣大學化學系陳藹然博士責任編輯

聲波冷卻冰箱(Acoustic Refrigerator),是一種利用聲波引起封於管內之氣體壓力改變,進而溫度改變的原理所製做的一種環保冰箱。

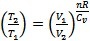
人類利用低溫保存食物的方式由來已久;在古代便在冬天時於地窖儲存冰塊,等到夏天將食物放入低溫的地窖保存。而現今的冰箱,是透過氣體體積改變導致溫度改變來達到冷卻的效果。因為當氣體進行一個絕熱膨脹(adiabatic expansion)的過程,即在一絕熱系統中改變氣體體積(與外界沒有熱量交換),溫度與體積遵守下列關係式:

1

T1:氣體膨脹前的溫度,T2:氣體膨脹後的溫度
V1:氣體膨脹前的體積,V2:氣體膨脹後的體積
n:氣體分子莫耳數,R:亞佛加厥常數,CV:氣體莫耳熱容量(molar heat capacity)