物質組成

苷類(glycoside)

苷類(glycoside)
國立臺灣大學化學系學士生張育唐/國立臺灣大學化學系陳藹然博士責任編輯

苷(glycoside),或稱配醣類,是指醣與其他不同的有機小分子連接所得到的化合物。這些小分子可以是各式各樣的生化分子,例如DNA當中的四個鹼基,就與核糖形成核苷(ribonucleoside),再與磷酸反應得到核苷酸。若是此一連接是與其他醣類,則會稱為雙醣或多醣。

圖一、(左)腺苷,(右)水楊素又稱柳苷。

糖醇(Sugar alcohol)、醣酸(Saccharinic acid)與胺醣(Amino sugar)

糖醇(Sugar alcohol)、醣酸(Saccharinic acid)與胺醣(Amino sugar)
國立臺灣大學化學系學士生張育唐/國立臺灣大學化學系陳藹然博士責任編輯

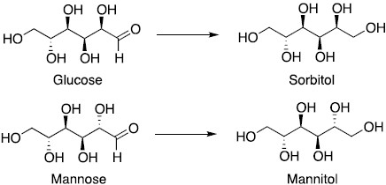
將醣類當中的醛基還原,可以得到糖醇(Sugar alcohol)。以D-葡萄糖為例,可以得到山梨醇(sorbitol),為最早被發現的醣醇之一;而甘露糖(mannose)則會形成甘露醇(mannitol)。

糖在化學上通常透過硼氫化鈉(sodium borohydride,NaBH4)等試劑還原成糖醇,而醛糖還可以在工業上透過高壓氫氣搭配鎳金屬催化劑(H2/Ni)來還原。一般而言醣醇少見於自然界,然而依然能夠被人體吸收與代謝,只是效率差了些;由於其帶有甜味,然而帶有的熱量又較少的特性,因此經常被作為食品甜味劑。一某知名品牌口香糖所添加的木糖醇(xylitol)也是醣醇的一種。它可以在缺乏胰島素的情況下被代謝,因此是一個適合作為代糖的來源。

單醣的結構

單醣(Monosaccharides)的結構
國立臺灣大學化學系學士生張育唐/國立臺灣大學化學系陳藹然博士責任編輯


單醣(Monosaccharides),有時又稱簡單的糖(simple sugars),是最基本簡單的碳水化合物(carbohydrates),此其通式可以寫為Cn(H2O)n。一個單醣通常會有一個羰基(carbonyl group),這個羰基一般而言會出現在1號碳,或是2號碳上。若羰基出現在1號碳上,表示此單醣具有一個醛基,故命名醛醣(Aldose); 若是羰基位於二號碳上,表示此單醣具有一個酮基,命名為酮醣(Ketose)。

因為單醣分子同時具有醛基和醇基,會進行分子內(intramolecule)半縮醛(hemiacetal)反應,產生環化的單糖分子。

鹵素含氧酸(Halogen Oxyacids)

鹵素含氧酸(Halogen Oxyacids)
國立臺灣大學化學系學士生張育唐/國立臺灣大學化學系陳藹然博士責任編輯

鹵素含氧酸(Halogen Oxyacids),是指除了氟以外的鹵素元素和 氧以不同比例形成的含氧酸,表一為所有目前已知鹵素含氧酸。相對於鹵素含氧酸,不含氧但含鹵素的酸類,則稱作氫鹵素含氧酸(hydrohalic acids),例如氫氟酸(HF)、氫氯酸(HCl)、氫溴酸(HBr)和氫碘酸(HI)。鹵素含氧酸與氫鹵素含氧酸都是單質子酸,在水中會解離出氫離 子。

表一

氫鹵酸當中的鹵素,其氧化數是-1,溶於水中為酸,氣態化合物則稱作鹵化氫。反之,鹵素含氧酸當中的鹵素,根據與其化合之氧的數目增加,氧化數由+1、+3、+5到最高+7價。鹵素含氧酸依照所含的氧的數目,由1到4我們可以依序稱為鹵酸(hypohalous acid,HXO)、鹵酸(halous acid,HOXO)、鹵酸(halic acid,HOXO2)、鹵酸(hyperhalic acid,HOXO3)。而其中的氧,氧化數都是-2。因為鹵素含氧酸的鹵素的氧化數為正,可以透過鹵素的還原,來氧化許多的物質,故鹵素含氧酸都具有強氧化性。

主族元素(Main Group Elements)

主族元素(Main Group Elements)
國立臺灣大學化學系學士生張育唐/國立臺灣大學化學系陳藹然博士責任編輯

主族元素,是指在元素週期表當中,s區(s-block)與p區(p-block)的元素。若用IUPAC對於元素的族的命名,則分別是1、2、13、14、15、16、17、18一共八個族的元素。在傳統對於族的CAS命名裡面,則分別是IA至VIIIA族元素。

12族的鋅、鎘、汞等元素,雖然說一般會併入d區的過渡金屬討論,然而其s與d軌域均填滿,因而具有一部份的主族元素性質,因此也有一些人主張,將12族元素算入主族元素。

主族元素佔據了宇宙,以及自然界、 生命體當中大部分的重要角色。組成生物體主要成分的碳、氫、氧、氮、磷、硫等,均是屬於主族元素當中的非金屬元素。主族元素除了氫以外,依照其性質,又有 鹼金屬、鹼土金屬、類金屬、半金屬、非金屬、鹵素、惰性氣體等分類。其中鹼金屬、鹼土金屬分別佔據了第1族與第2族,但不包含氫;而鹵素與惰性氣體則對應 了第17族與第18族。中間的13、14、15、16族,則較少有習慣稱呼;一般以硼族、碳族、氮族(pnictogen)、氧族(chalcogen) 等來表示。

【高瞻特輯-化學催化反應】金剛烷的合成(The Synthesis of Adamantane)

【高瞻特輯】金剛烷的合成(The Synthesis of Adamantane)
日本早稻田大學室井髙城(Muroi Takashiro)教授撰寫/麻省理工學院材料系李祐慈博士責任編輯

本系列文章譯自日本報導

金剛烷與鑽石的化學鍵結形式相同,有耐熱與潤滑的性質,能做為光學材料、藥物成分、黏著劑等方面的應用,如下圖所示

金剛烷一般是將雙環戊二烯(dicyclopentadiene)進行氫化而成四氫雙環戊二烯(tetrahydropentadiene, THDP),再將其異構化而成。

其中第一步雙環戊二烯的氫化反應若是以鎳金屬或鈀‧氧化鋁(Pd-Al2O3)催化,可在溫和的環境下進行。第二步的異構化反應則需氯化鋁。合成每百萬噸的金剛烷會產生兩百萬噸的氯化鋁殘渣。使用過的氯化鋁無法回收,又有腐蝕性,而金剛烷的產率只有三至四成。這樣的生產方式實在稱不上環保。

對胺基苯甲酸(4-aminobenzoic acid)

對胺基苯甲酸(4-aminobenzoic acid)
台北市立第一女子高級中學三年級林冠蓁/台北市立第一女子高級中學化學科詹莉芬老師修改/國立師範大學化學系葉名倉教授責任編輯

基本性質

◆化學式:C7H7NO2

◆名稱:4-aminobenzoic acid、4-氨基苯甲酸、對酸、PABA

◆外觀:純的對胺基苯甲酸熔點187-189℃,白色針狀單斜棱晶,暴露於空氣中或可見光之下,容易氧化變黃,因此市售品常為淡棕黃色晶體。

◆溶解度:易溶於沸水,可溶於乙醇、乙醚、乙酸乙酯和冰醋酸,微溶於水及苯,不溶於石油醚。是兩性物質,可溶於酸、鹼溶液中。

有機硫化物(Organosulfur compounds)

有機硫化物(Organosulfur compounds)
台北市立永春高級中學化學科蔡曉信老師 / 國立臺灣師範大學化學系葉名倉教授責任編輯

有機硫化物為含有硫的有機物,它們通常具有難聞的臭味,但有些有機硫化物的衍生物則具有甜味。自然界裏蘊含豐富的有機硫化物,硫也是生命體的必要元素。在20種常見的氨基酸中有2種為有機硫化物。化石燃料、煤、石油和天然氣,這些物質來自於古代的有機體,因此當然含有有機硫化物。因為硫與氧為同族元素因此可預期有機硫化物與碳氧化合物會有相似的特性。Carius halogen method是一種傳統化學檢驗硫化物的方法。

有機硫化物的分類
有機硫化物可依含硫的官能基來加以分類,其蘊含量依序為:
1.

大蒜素(Allicin)為大蒜中的活性成份

2.

半胱胺酸(cysteine)為一種含硫醇基的氨基酸

3.

甲硫胺酸(Methionine)為一種含硫醚基的氨基酸

Pages