三聚氰胺(Melamine或1,3,5-Triazine-2,4,6-Triamine)
三聚氰胺(Melamine或1,3,5-Triazine-2,4,6-Triamine)
國立台灣師範大學化學系碩士生蕭全佑/國立台灣師範大學化學系葉名倉教授責任編輯
性質
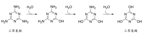
三聚氰胺的化學式為C3H6N6,分子量126.12 g mol-1,IUPAC命名:1,3,5-Triazine-2,4,6-Triamine,俗稱密胺、氰尿醯胺、三聚醯胺、蛋白精,是一種白色單斜晶體,幾乎無味的三嗪類(Triazine)含氮雜環有機化合物。密度1.574 g/cm3,熔點250 °C,可微溶於水(3.1g/L,20°C),可溶於甲醇、甲醛、乙酸、熱乙二醇、甘油、吡啶等,不溶於丙酮、醚類。三聚氰胺遇強酸或強鹼水溶液可被水解,氨基會逐步被羥基取代,首先生成三聚氰酸二醯胺,進一步水解生成三聚氰酸一醯胺,最後生成三聚氰酸。




